Ecuatii Trigonometrice Exercitii Rezolvate





Probleme Rezolvate Ecuatii Trigonometrice Clasa A X A Www Supermeditatii Ro Youtube

Probleme Rezolvate Ecuatii Trigonometrice Clasa A X A Www Supermeditatii Ro Youtube

Ecuatii Trigonometrice

Ecuatii Trigonometrice

Trigonometrie Formule Trigonometrice Elementare Exercitii Rezolvate Youtube

Trigonometrie Formule Trigonometrice Elementare Exercitii Rezolvate Youtube

Ecuatie Trigonometrica Cu Arcsin Si Arccos Youtube

Ecuatie Trigonometrica Cu Arcsin Si Arccos Youtube

125907307 Ecuatii Trigonometrice

125907307 Ecuatii Trigonometrice

Functii Trigonometrice Inverse Exercitii Rezolvate Youtube

Functii Trigonometrice Inverse Exercitii Rezolvate Youtube

Functii Trigonometrice Inverse Exercitii Rezolvate Youtube

Exercitii rezolvate derivarea functiei inverse.

Ecuatii trigonometrice exercitii rezolvate. Formule trigonometrice și subiecte cu rezolvari din variantele de bacalaureat ecuatiile trigonometrice sunt ecuatii in care necunoscuta figureaza in argumente ale functiilor trigonometrice formule esențiale trigonometrice folositoare pentru rezolvarea subiectelor de la bacalaureat si subiecte extrase din variantele de la. Subiecte si rezolvari bacalaureat. Inegalitati clasice intr un triunghi 20 probleme rezolvate. Ecuatii trigonometrice clasa 10 exercitii rezolvate din variantele de bac matematica 2009 2012.

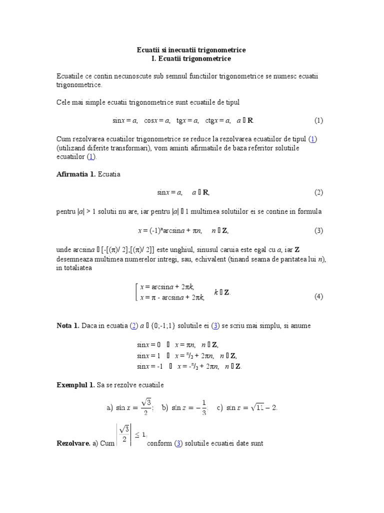
Exercitii rezolvate teorema lui rolle. Trigonometrie plan a si sferic a ecuat ii trigonometrice 1 exercit ii rezolvate 1 cos2x 4sinx 1 0 r. 7tgx 4ctgx 12. Ecuatii trigonometrice ecuatiile ce contin necunoscute sub semnul functiilor trigonometrice se numesc ecuatii trigonometrice.

Mai multe gasiti pe www supermeditatii ro. 6cos 2 x 5cosx 1 0. 1 2 sin 4 x cos 4 x sin 2 xcos 2 x sinxcosx 1 2. Tg 2 x 3tgx 2 0.

Ecuatii trigonometrice care se reduc la ecuatii algebrice 24 probleme rezolvate. Formule si ecuatii trigonometrice. Probleme rezolvate ecuatii trigonometrice clasa a x a www supermeditatii ro lectii si teste pentru elevi gimnaziu si liceu pentru invatare pas cu pas. Exercitii rezolvate relatiile lui viete pentru ecuatia de gradul doi operatii algebrice cu numere reale exercitii rezolvate din variantele de bac progresii aritmetice progresii geometrice ecuatii exponentiale exercitii rezolvate.

Sa se rezolve ecuatiile 2sin 2 x 1 cosx. 4 cărți de proză și poezie 61 cărţi de matematică şi economie 154. Cele mai simple ecuatii trigonometrice sunt ecuatiile de tipul sinx a. Sin 2 x sin 2 2x sin 2 3x sin 2 4x.

Inlocuim n ecuat ie cos2x 1 2sin2 x si obt inem 1 2sin2 x 4sinx 1 0 2sinx 2 sinx 0 cum sinx 1 2 sinx 0 deci singura solut ie acceptabil a este sinx 0 de unde obt inem. 1 cum rezolvarea ecuatiilor trigonometrice se reduce la rezolvarea ecuatiilor de tipul 1 uti. Sin 2 x cos 2 x cosx. Cătălin angelo ioan universitatea danubius din galați 1985 absolvent al facultăţii de matematică din bucureşti 2000 doctor în matematică al universităţii alexandru ioan cuza din iaşi publicaţii.

Limite Remarcabile Trigonometrice Lim Sinx X 1 Exercitii Rezolvate Youtube

Limite Remarcabile Trigonometrice Lim Sinx X 1 Exercitii Rezolvate Youtube

Lectia 344 Ecuatii Trigonometrice Cu Andreea Alex Si Vlad Tema La Matematica Clasa 10 Youtube

Lectia 344 Ecuatii Trigonometrice Cu Andreea Alex Si Vlad Tema La Matematica Clasa 10 Youtube

Formule Si Ecuatii Trigonometrice Subiecte Si Rezolvari Bacalaureat Bacalaureat

Formule Si Ecuatii Trigonometrice Subiecte Si Rezolvari Bacalaureat Bacalaureat

Exemple De Ecuatii Simple 1 Fisa De Lucru Cu Ecuatii Rezolvate Exercitii Rezolvate Matematica Gimnaziu Jitaruionelbl In 2020 Math Geometry Math Math Equations

Exemple De Ecuatii Simple 1 Fisa De Lucru Cu Ecuatii Rezolvate Exercitii Rezolvate Matematica Gimnaziu Jitaruionelbl In 2020 Math Geometry Math Math Equations

Ecuatii Trigonometrice

Ecuatii Trigonometrice

Formuleonline Probleme Si Exercitii Rezolvate Ecuatii Exponentiale Exercitiu Rezolvat 12

Formuleonline Probleme Si Exercitii Rezolvate Ecuatii Exponentiale Exercitiu Rezolvat 12

Formuleonline Probleme Si Exercitii Rezolvate Ecuatia De Gradul 2 Exercitiu Rezolvat 25

Formuleonline Probleme Si Exercitii Rezolvate Ecuatia De Gradul 2 Exercitiu Rezolvat 25

Probleme Rezolvate La Matematica Functiile Trigonometrice Ale Argumentului Dublu Si Triplu Functii Trigonometrice Puncte De Extrem Rezolvat

Probleme Rezolvate La Matematica Functiile Trigonometrice Ale Argumentului Dublu Si Triplu Functii Trigonometrice Puncte De Extrem Rezolvat

Formuleonline Probleme Si Exercitii Rezolvate Ecuatii Exponentiale Exercitiu Rezolvat 10 Educacion

Formuleonline Probleme Si Exercitii Rezolvate Ecuatii Exponentiale Exercitiu Rezolvat 10 Educacion

Exercitii Rezolvate Cu Ecuatii Logaritmice Docx Document

Exercitii Rezolvate Cu Ecuatii Logaritmice Docx Document

Ecuatii Si Inecuatii Trigonometrice

Ecuatii Si Inecuatii Trigonometrice

Trigonometrie

Trigonometrie

Exercitii Rezolvate Cu Ecuatii Logaritmice

Exercitii Rezolvate Cu Ecuatii Logaritmice

Formuleonline Probleme Si Exercitii Rezolvate Modulul Ecuatii Exercitiu Rezolvat 6 Math Examples Math Words

Formuleonline Probleme Si Exercitii Rezolvate Modulul Ecuatii Exercitiu Rezolvat 6 Math Examples Math Words

Source : pinterest.com